Systems of equations word problems can be challenging for students to solve, as they require a deep understanding of algebraic concepts and the ability to apply them to real-life situations. One effective way to practice solving these types of problems is through worksheets that provide a variety of scenarios for students to work through. These worksheets often include multiple equations that need to be solved simultaneously, making them a great tool for reinforcing the skills needed to tackle complex word problems.
One common type of systems of equations word problems worksheet presents scenarios where two or more equations are given, each representing different aspects of a problem. Students are then tasked with finding the values of the variables that satisfy all of the equations simultaneously. This requires students to carefully analyze the information provided in the word problem, set up the equations correctly, and then solve them using algebraic methods such as substitution or elimination.
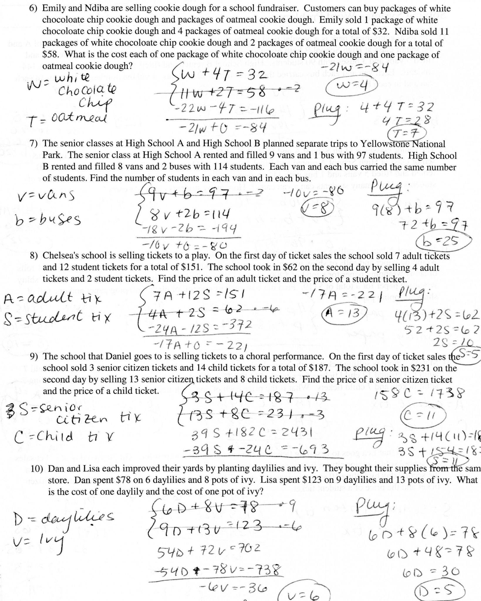
For example, a typical problem on a systems of equations word problems worksheet might involve determining the number of tickets sold for a school fundraiser. One equation could represent the total number of tickets sold, while another equation could represent the total amount of money raised from ticket sales. By setting up and solving these equations simultaneously, students can find the number of tickets sold and the price per ticket.
Another common type of problem on these worksheets involves scenarios where two individuals are traveling at different rates of speed and distances. By setting up equations based on the distance traveled by each individual and the time it takes them to travel, students can determine when and where the two individuals will meet. These types of problems require students to carefully consider the relationship between the variables and how they interact in the given situation.
Overall, systems of equations word problems worksheets are a valuable tool for students to practice and master the skills needed to solve complex algebraic problems. By working through a variety of scenarios that require setting up and solving systems of equations, students can build their problem-solving abilities and gain confidence in their algebraic skills. These worksheets also help students see the practical applications of algebra in real-life situations, making the concepts more engaging and relevant.
In conclusion, systems of equations word problems worksheets are an effective way for students to practice solving complex algebraic problems in real-life scenarios. By working through a variety of problems that require setting up and solving systems of equations, students can strengthen their algebraic skills and gain a deeper understanding of how to apply them in different situations. These worksheets provide valuable practice and reinforcement, helping students build confidence in their ability to tackle challenging word problems.
