Specific heat is a fundamental concept in thermodynamics that measures the amount of heat required to raise the temperature of a unit mass of a substance by one degree Celsius. It is a property that is unique to each material and plays a crucial role in various scientific and engineering applications.
When studying specific heat, students often use worksheets to practice calculations and reinforce their understanding of the concept. These worksheets typically involve problems where students are required to determine the specific heat of a given substance or calculate the amount of heat transferred in a specific scenario.
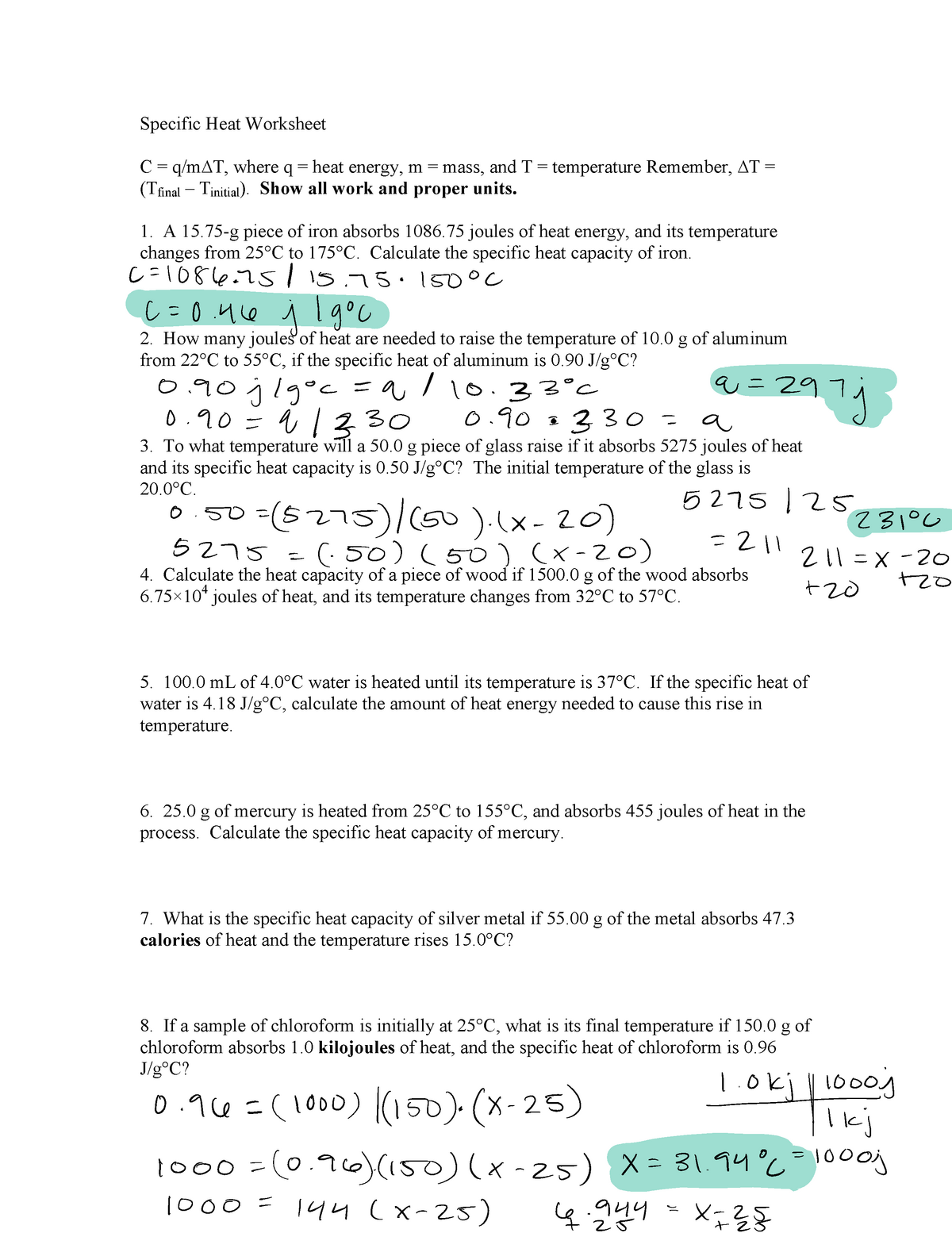
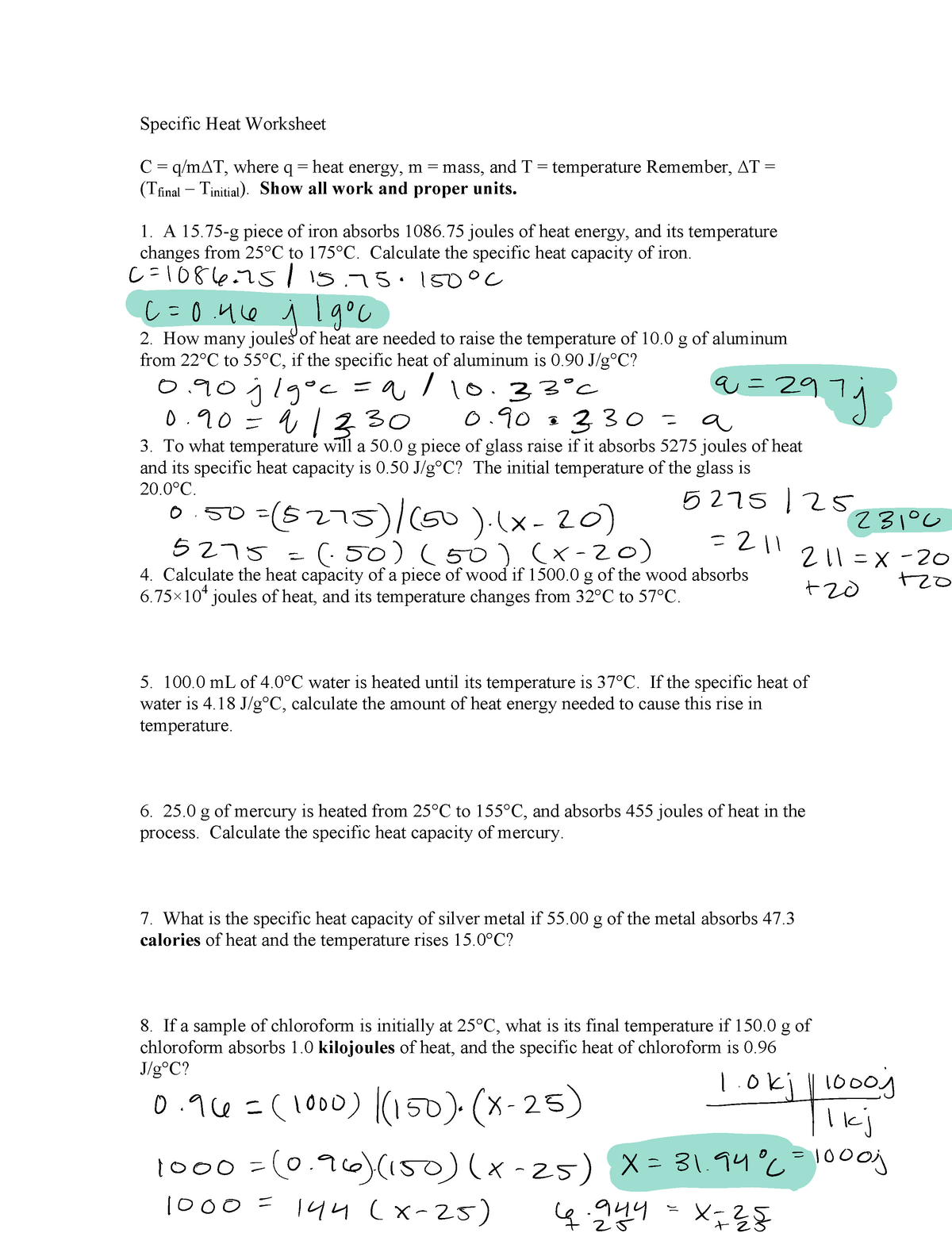
Specific Heat Worksheet
A specific heat worksheet typically consists of a series of problems that test a student’s knowledge and understanding of specific heat. These problems may involve calculating the specific heat of a substance, determining the amount of heat transferred, or predicting the final temperature of a system after a heat transfer process.
Students are required to apply the formula for specific heat, which is Q = mcΔT, where Q represents the amount of heat transferred, m is the mass of the substance, c is the specific heat capacity, and ΔT is the change in temperature. By solving these problems, students can gain a deeper insight into how specific heat affects the thermal properties of materials.
Working on specific heat worksheets can also help students develop critical thinking and problem-solving skills. By analyzing different scenarios and applying the principles of specific heat, students can enhance their ability to think logically and critically evaluate complex problems related to heat transfer and thermodynamics.
Overall, specific heat worksheets are valuable tools for students to practice and reinforce their understanding of specific heat concepts. By working through various problems and calculations, students can deepen their knowledge of specific heat and its role in thermal processes, making them better prepared to tackle more advanced topics in thermodynamics and engineering.
In conclusion, specific heat worksheets are an essential component of learning about thermodynamics and heat transfer. By engaging with these worksheets, students can enhance their understanding of specific heat, develop problem-solving skills, and gain a deeper appreciation for the role of specific heat in various scientific and engineering applications.
