Quadratic equations are an essential part of algebra and are commonly encountered in mathematics. They take the form ax^2 + bx + c = 0, where a, b, and c are constants. To solve these equations, various methods can be employed, such as factoring, completing the square, or using the quadratic formula.
A worksheet on solving quadratic equations can be a valuable tool for students to practice and reinforce their understanding of the topic. It provides them with a series of problems to work through, allowing them to apply the different methods of solving quadratic equations and improve their problem-solving skills.
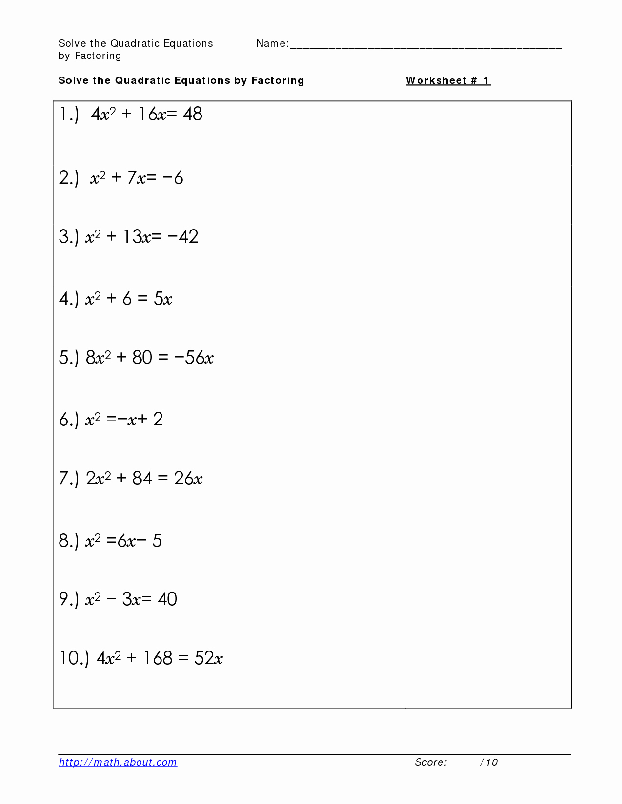
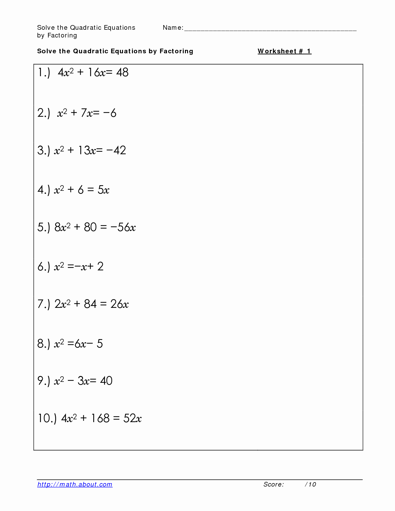
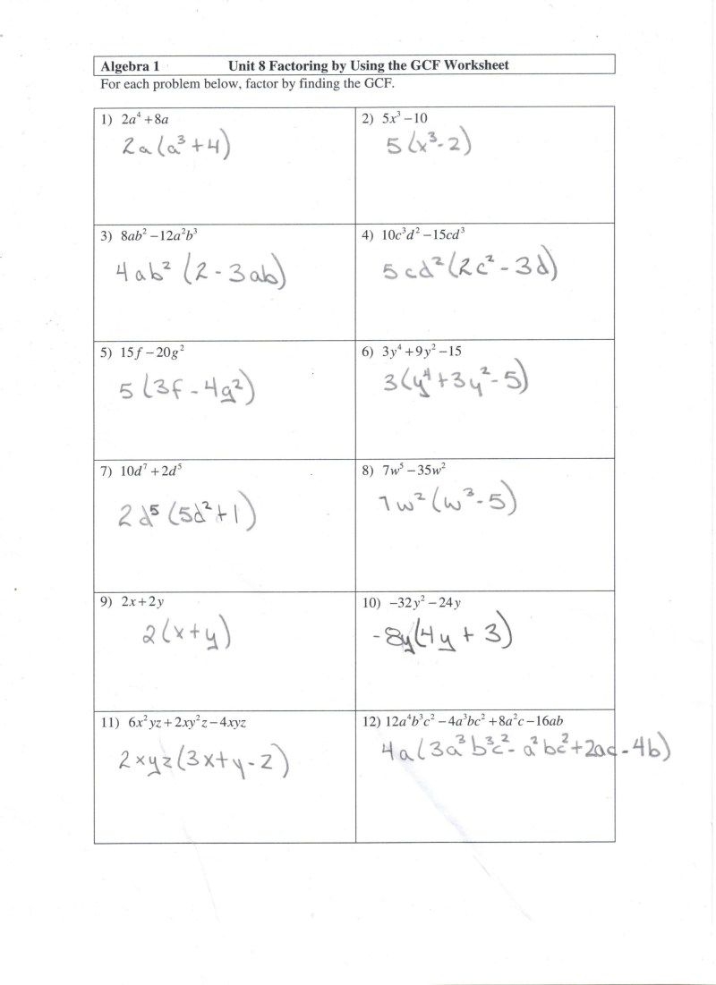
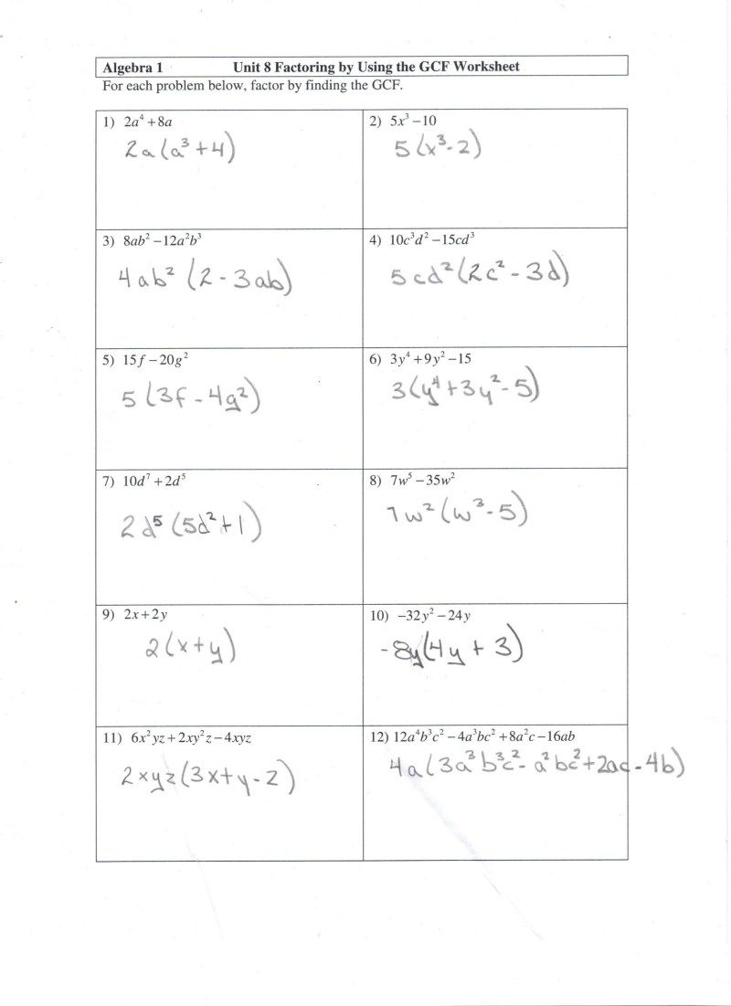
Worksheet Content
The worksheet may include a mix of quadratic equations that require different approaches to solve. Some equations may be easily factorable, while others may necessitate the use of the quadratic formula. This variety helps students become proficient in selecting the most suitable method for each equation.
Additionally, the worksheet can incorporate word problems that involve quadratic equations, giving students the opportunity to apply their mathematical knowledge to real-world scenarios. These types of problems enhance critical thinking and problem-solving abilities, preparing students for more complex applications of quadratic equations.
Furthermore, the worksheet may include questions that require students to show their work step by step, enabling teachers to assess their understanding of the concepts and identify any areas that need further clarification. This feedback is crucial for guiding students towards mastery of solving quadratic equations.
By completing the quadratic equations worksheet, students can build confidence in their ability to tackle challenging problems and develop a solid foundation in algebra. Regular practice with these exercises enhances their problem-solving skills and equips them with the necessary tools to excel in mathematics.
In conclusion, a solving quadratic equations worksheet is a valuable resource for students to practice and refine their skills in solving these types of equations. By working through a variety of problems and applying different methods, students can enhance their understanding of quadratic equations and improve their problem-solving abilities. This practice is essential for mastering algebra and preparing for more advanced mathematical concepts.
