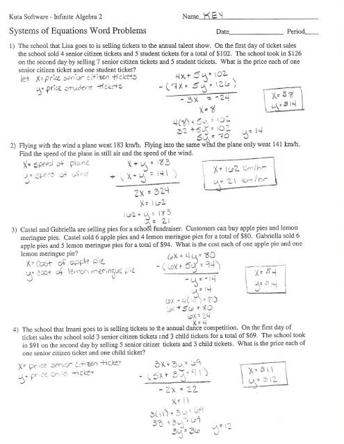
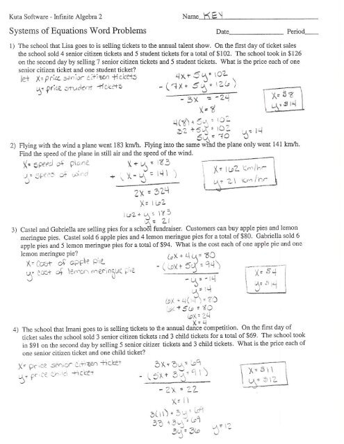
Word problems involving systems of equations can often be challenging for students. They require critical thinking and problem-solving skills to determine the relationships between different variables and come up with a solution. However, with practice and a systematic approach, these problems can become more manageable.
One effective way to tackle these types of problems is to create a system of equations that represents the given information. This involves defining variables for the unknown quantities and writing equations based on the relationships described in the problem. By solving this system of equations, you can find the values of the variables and ultimately answer the question posed in the word problem.
Let’s consider an example of a word problem that involves solving a system of equations. Suppose you are given the following scenario: “A fruit vendor sells apples and oranges. The total number of fruits sold is 50, and the total cost is $80. If apples cost $2 each and oranges cost $3 each, how many of each fruit did the vendor sell?”
To solve this problem, we can define two variables: let x represent the number of apples sold and y represent the number of oranges sold. We can then write two equations based on the information given in the problem. The first equation represents the total number of fruits sold: x + y = 50. The second equation represents the total cost: 2x + 3y = 80.
By solving this system of equations, we can find the values of x and y that satisfy both equations. One possible solution is x = 20 and y = 30, which means the vendor sold 20 apples and 30 oranges. This approach allows us to systematically solve word problems by breaking them down into mathematical equations and finding the unknown quantities.
In conclusion, solving a system of equations word problems worksheet requires a methodical approach and an understanding of how to represent the given information in mathematical form. By defining variables, writing equations, and solving the system, you can find the solutions to these types of problems. With practice and perseverance, students can improve their problem-solving skills and tackle more complex word problems with confidence.
