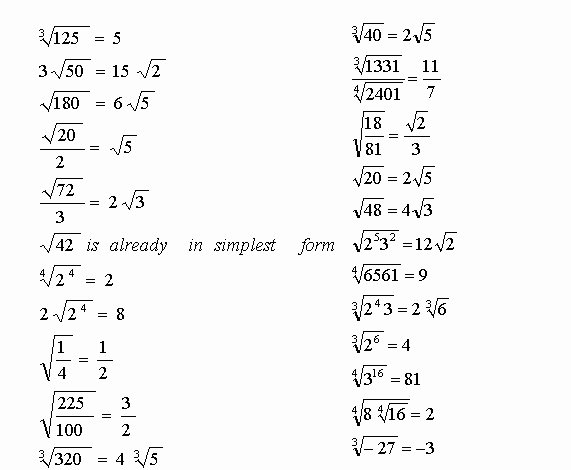
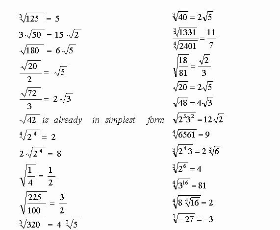
When it comes to mathematics, simplifying square roots can be a daunting task for many students. However, with the right guidance and practice, it can become a much simpler process. One effective way to help students understand and master this concept is through the use of worksheets. These worksheets provide a structured approach to practicing simplifying square roots, allowing students to gradually build their skills and confidence in this area.
By breaking down the process of simplifying square roots into manageable steps, worksheets can help students navigate through the complexities of this mathematical operation. They provide a space for students to practice applying the rules and techniques of simplifying square roots, allowing them to develop a deeper understanding of the underlying concepts. Additionally, worksheets offer a variety of problems at different levels of difficulty, catering to the needs of students with varying skill levels.
Benefits of Simplifying Square Roots Worksheet
One of the key benefits of using worksheets to practice simplifying square roots is the opportunity for repetitive practice. By repeatedly solving problems related to simplifying square roots, students can reinforce their learning and improve their retention of the material. This repetitive practice helps students internalize the rules and procedures involved in simplifying square roots, making it easier for them to apply these concepts in different contexts.
Furthermore, worksheets provide immediate feedback to students, allowing them to track their progress and identify areas for improvement. This feedback loop enables students to learn from their mistakes and make corrections, leading to a deeper understanding of the material. Worksheets also encourage students to work independently, promoting self-directed learning and problem-solving skills.
In conclusion, simplifying square roots worksheets are valuable tools for helping students master this important mathematical concept. By providing structured practice, repetitive reinforcement, and immediate feedback, worksheets can enhance students’ understanding and proficiency in simplifying square roots. Incorporating worksheets into the curriculum can help students build confidence, improve their problem-solving skills, and achieve success in mathematics.
Overall, simplifying square roots worksheets offer a practical and effective way for students to deepen their understanding of this fundamental mathematical operation. With consistent practice and guidance, students can develop the skills and confidence needed to tackle complex square root problems with ease.
