PreCalculus is a crucial subject in mathematics that serves as a foundation for higher-level math courses. One of the best ways to practice and reinforce concepts learned in PreCalculus is through worksheets. These worksheets provide students with opportunities to apply theories, solve problems, and enhance their understanding of various mathematical concepts.
PreCalculus worksheets are essential tools for students to practice and reinforce their understanding of algebra, trigonometry, functions, and other topics covered in the course. These worksheets are designed to challenge students, encourage critical thinking, and improve problem-solving skills. By regularly completing PreCalculus worksheets, students can build confidence and excel in the subject.
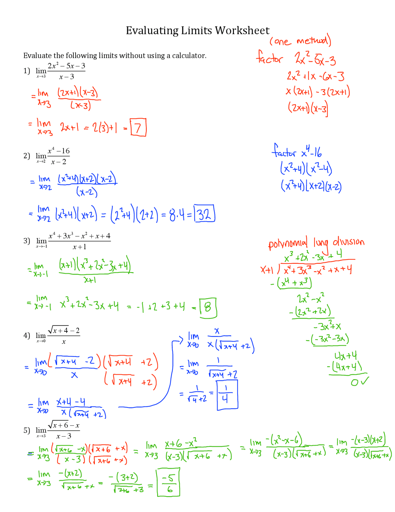
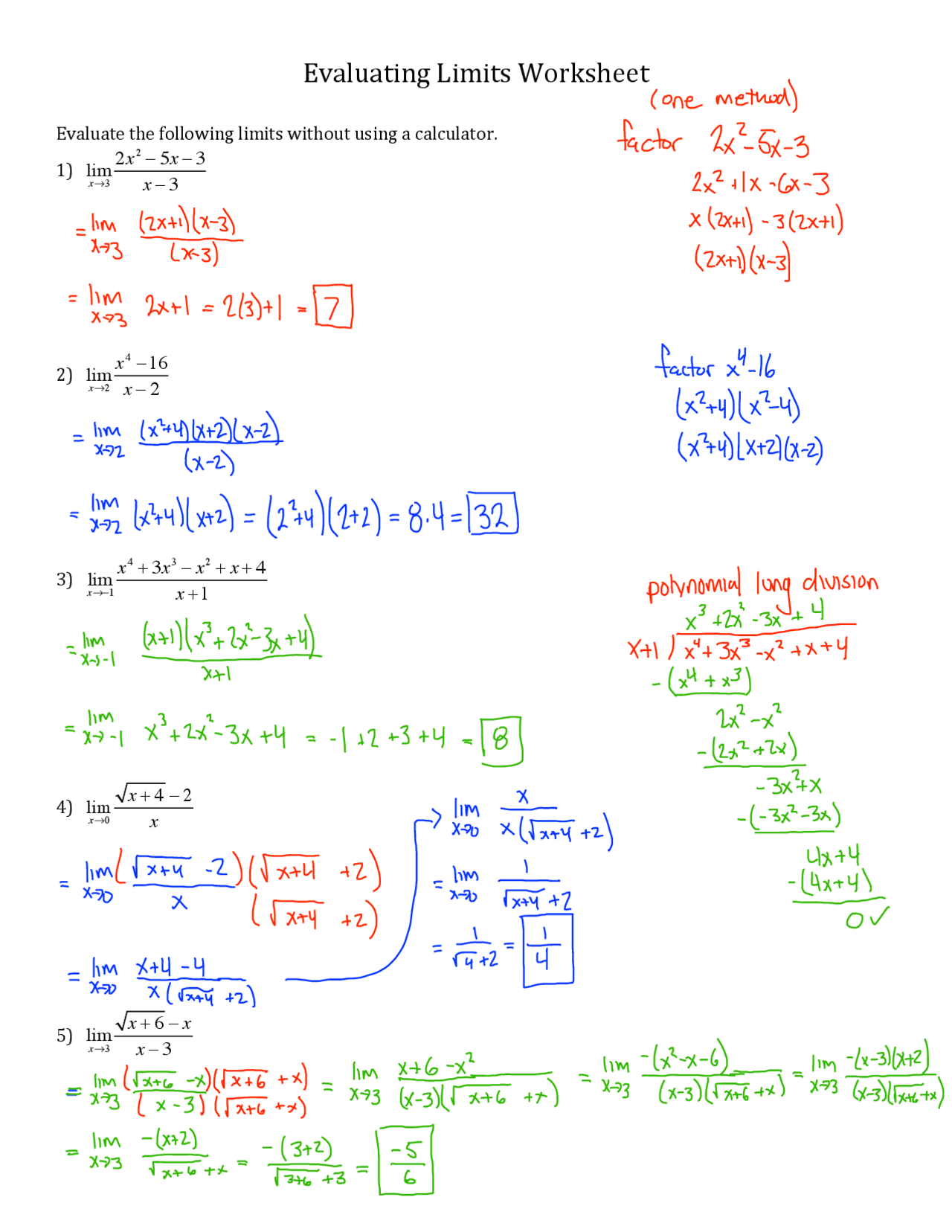
When it comes to PreCalculus worksheets, there are various types available to cater to different learning styles and preferences. Some worksheets focus on algebraic manipulations, such as solving equations and inequalities, while others emphasize trigonometric functions, identities, and graphs. Additionally, there are worksheets that cover topics like sequences, series, and limits, which are essential for calculus preparation.
PreCalculus worksheets typically consist of a series of problems or exercises that require students to apply the concepts learned in class. These worksheets may include multiple-choice questions, short-answer problems, and word problems to assess students’ comprehension and problem-solving skills. Additionally, some worksheets may incorporate real-world applications to help students see the relevance of PreCalculus in everyday life.
By regularly practicing with PreCalculus worksheets, students can improve their math skills, enhance their problem-solving abilities, and boost their confidence in the subject. These worksheets serve as valuable resources for both students and educators, providing opportunities for practice, review, and assessment. Whether used as homework assignments, study guides, or review materials, PreCalculus worksheets play a crucial role in reinforcing concepts and preparing students for success in the course.
In conclusion, PreCalculus worksheets are powerful tools for students to practice, reinforce, and master mathematical concepts covered in the course. By regularly completing these worksheets, students can enhance their understanding of algebra, trigonometry, functions, and other topics, ultimately leading to improved performance in PreCalculus and beyond.
