Rational functions are functions that can be expressed as the ratio of two polynomials. They are widely used in mathematics to model real-world situations and solve complex problems. When dealing with rational functions, it is important to understand whether they are odd or even.
An odd function is symmetric about the origin, meaning that f(-x) = -f(x) for all x in the domain. On the other hand, an even function is symmetric about the y-axis, meaning that f(-x) = f(x) for all x in the domain. Identifying whether a rational function is odd or even can help simplify calculations and solve problems more efficiently.
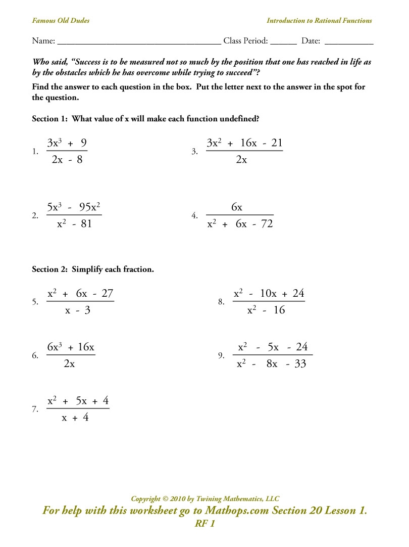
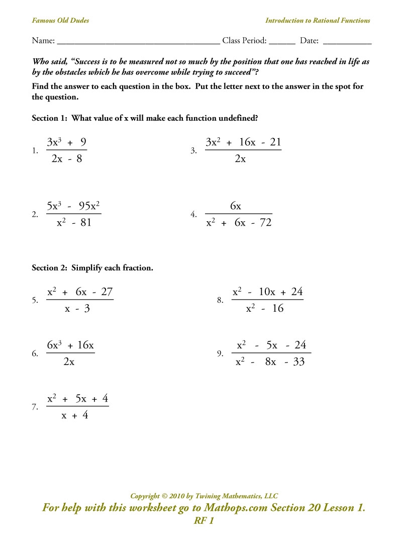
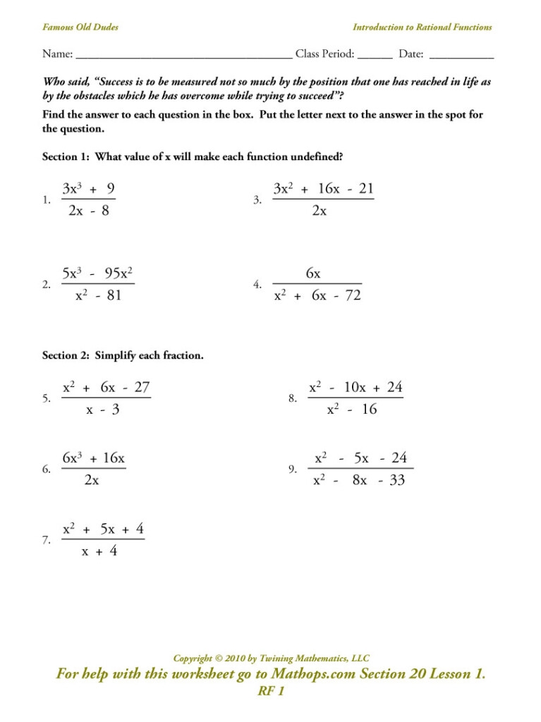
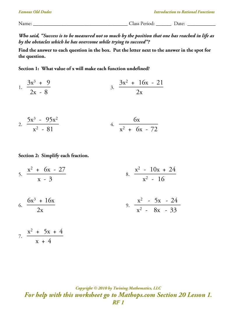
Rational function worksheets that focus on odd or even functions are designed to help students practice identifying the symmetry of functions and apply this knowledge to solve problems. These worksheets typically include a variety of rational functions for students to analyze and determine whether they are odd, even, or neither.
Students are often asked to check the symmetry of a function by plugging in -x and comparing it to the original function. By understanding the properties of odd and even functions, students can easily determine the symmetry of a rational function and use this information to simplify calculations and graphs.
Working on odd or even rational function worksheets can also help students develop their problem-solving skills and critical thinking abilities. By analyzing the symmetry of functions and applying mathematical concepts, students can improve their understanding of rational functions and how they behave in different scenarios.
In conclusion, odd or even rational function worksheets are valuable tools for students to practice identifying the symmetry of functions and applying this knowledge to solve problems. By working on these worksheets, students can improve their mathematical skills and gain a deeper understanding of rational functions. Whether they are studying for a test or simply looking to strengthen their math skills, these worksheets can be a useful resource for students at any level.
