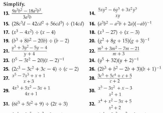
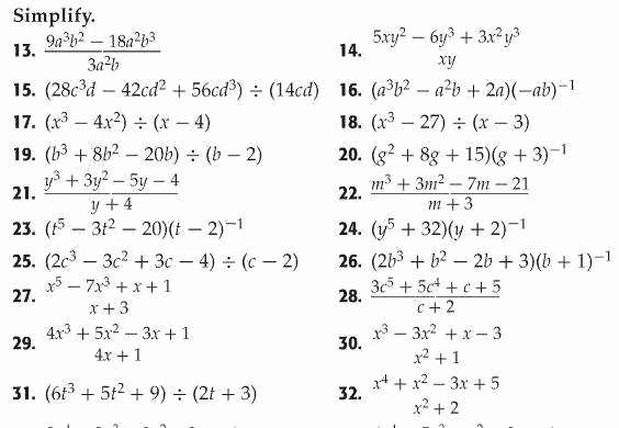
Long division with polynomials can be a challenging concept for students to grasp. It involves dividing one polynomial by another, similar to how we divide numbers in long division. This process requires careful attention to detail and knowledge of polynomial terms and operations.
Worksheets are a great way for students to practice and reinforce their understanding of long division with polynomials. By working through various problems and scenarios, students can build confidence and improve their skills in this area of algebra.
Example Problems
Let’s take a look at some example problems that might be included in a long division with polynomials worksheet. In one problem, students might be asked to divide a polynomial like 2x^3 + 5x^2 – 3x + 1 by another polynomial, such as x + 2. This would involve carefully dividing each term and combining like terms to determine the quotient.
Another problem might involve dividing a more complex polynomial, such as 4x^4 + 3x^3 – 2x^2 + 7x – 1, by a binomial like 2x – 1. Students would need to carefully work through each step of the division process, taking care to keep track of terms and coefficients.
As students work through these problems, they will need to apply their knowledge of polynomial operations, including addition, subtraction, multiplication, and division. They will also need to understand how to handle variables and exponents in order to successfully divide polynomials.
By practicing with worksheets that include a variety of problems, students can improve their skills and gain confidence in their ability to perform long division with polynomials. These worksheets can also be a valuable resource for teachers, providing a way to assess student understanding and progress in this area of algebra.
Overall, long division with polynomials worksheets are a valuable tool for students to practice and reinforce their understanding of this challenging algebraic concept. By working through a variety of problems and scenarios, students can improve their skills and build confidence in their ability to divide polynomials accurately and efficiently.
