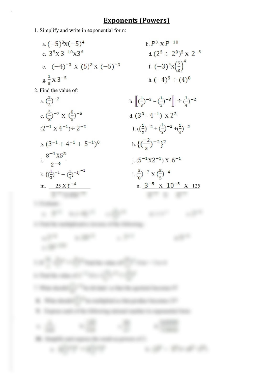
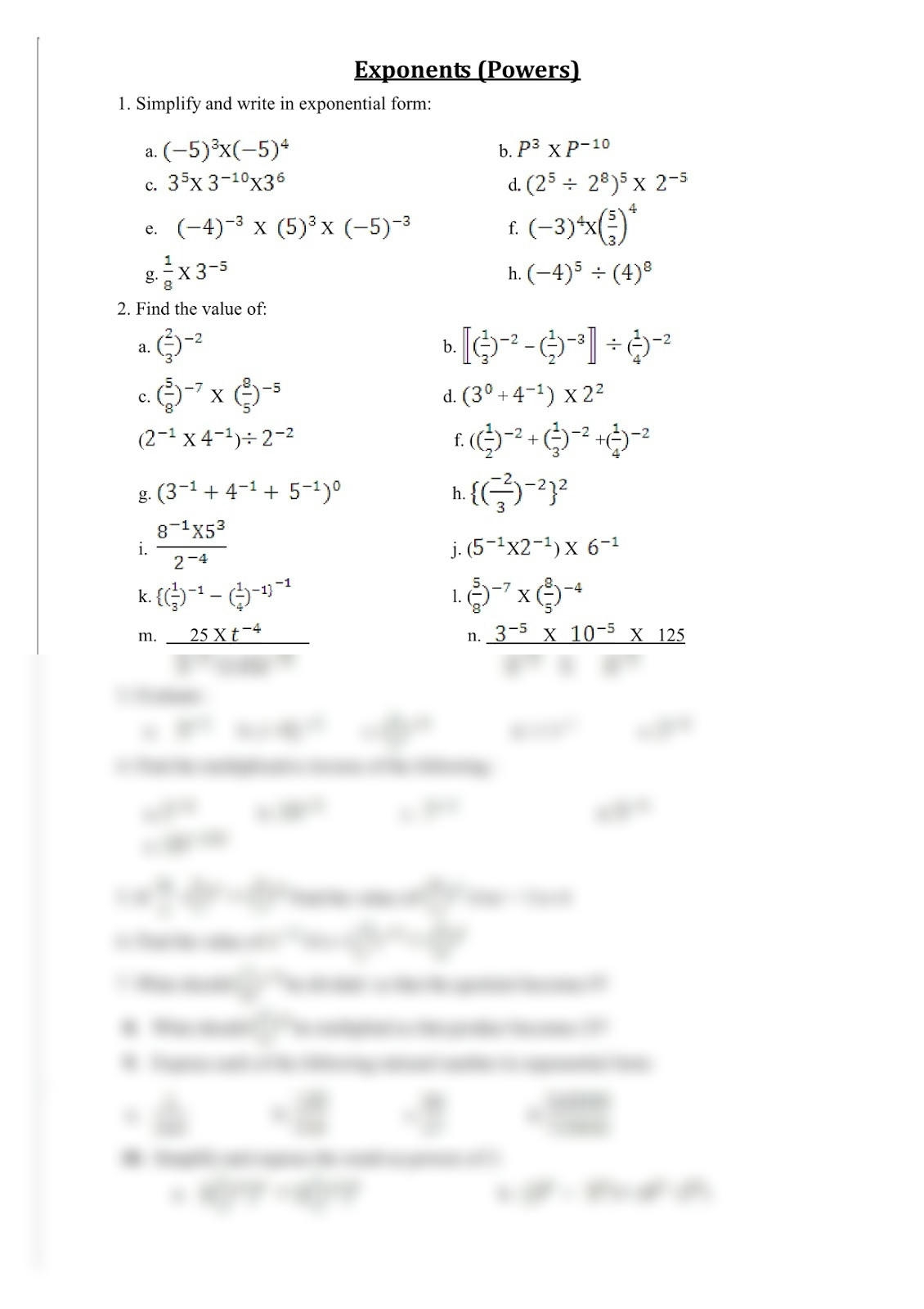
Exponents are an important concept in mathematics, and grade 8 is the perfect time to introduce students to this topic. To help students practice and master their skills in working with exponents, worksheets are a valuable tool. Exponents worksheets for grade 8 with answers in PDF format are a convenient resource for teachers, parents, and students.
These worksheets provide a variety of problems for students to solve, ranging from simple multiplication and division of exponents to more complex problems involving negative exponents and scientific notation. By practicing with these worksheets, students can improve their understanding of exponents and develop their problem-solving skills.
Exponents worksheets for grade 8 with answers in PDF format are easily accessible and can be printed out for use in the classroom or at home. They can be used for individual practice, homework assignments, or classroom activities. The answers provided on the worksheets allow students to check their work and monitor their progress.
With the help of these worksheets, students can build their confidence in working with exponents and become more proficient in solving problems involving exponents. Teachers can also use these worksheets to assess students’ understanding of the topic and provide additional support where needed. Overall, exponents worksheets for grade 8 with answers in PDF format are a valuable resource for both students and educators.
In conclusion, exponents worksheets for grade 8 with answers in PDF format are a useful tool for practicing and mastering skills related to exponents. By providing a variety of problems and answers, these worksheets help students improve their understanding and proficiency in working with exponents. Whether used in the classroom or at home, these worksheets can support students in their learning journey and help them succeed in mathematics.
