Complex numbers are numbers that can be expressed in the form a + bi, where “a” and “b” are real numbers and “i” is the imaginary unit. These numbers are essential in mathematics, especially in fields like engineering, physics, and computer science. To understand complex numbers better, practice is key, and one effective way to do so is through worksheets.
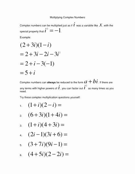
Complex numbers worksheets are designed to help students practice operations with complex numbers, such as addition, subtraction, multiplication, and division. These worksheets often include problems that involve simplifying expressions, finding the conjugate of a complex number, and solving equations with complex solutions.
Complex Numbers Worksheet
When working on a complex numbers worksheet, it is important to remember the basic rules of operations with complex numbers. Addition and subtraction of complex numbers involve adding or subtracting the real and imaginary parts separately. Multiplication of complex numbers follows the distributive property, while division requires multiplying by the conjugate of the denominator.
One common type of problem found in complex numbers worksheets is to simplify complex expressions. This may involve combining like terms, distributing factors, and applying the rules of exponents to simplify the expression. These problems help reinforce the understanding of complex numbers and their properties.
Another type of problem in complex numbers worksheets is solving equations with complex solutions. By setting the equation equal to zero and applying the quadratic formula, students can find the solutions, which may involve complex conjugates. This practice helps students become comfortable with working with complex numbers in equations.
Overall, working on complex numbers worksheets is a valuable way to strengthen understanding and skills in dealing with complex numbers. By practicing various operations and solving problems, students can improve their proficiency and confidence in working with these unique numbers. With consistent practice and effort, mastering complex numbers becomes more attainable.
In conclusion, complex numbers worksheets are essential tools for students to enhance their understanding and skills in working with complex numbers. These worksheets provide a structured way to practice operations, simplify expressions, and solve equations involving complex numbers. By dedicating time and effort to completing these worksheets, students can build a solid foundation in handling complex numbers effectively.
