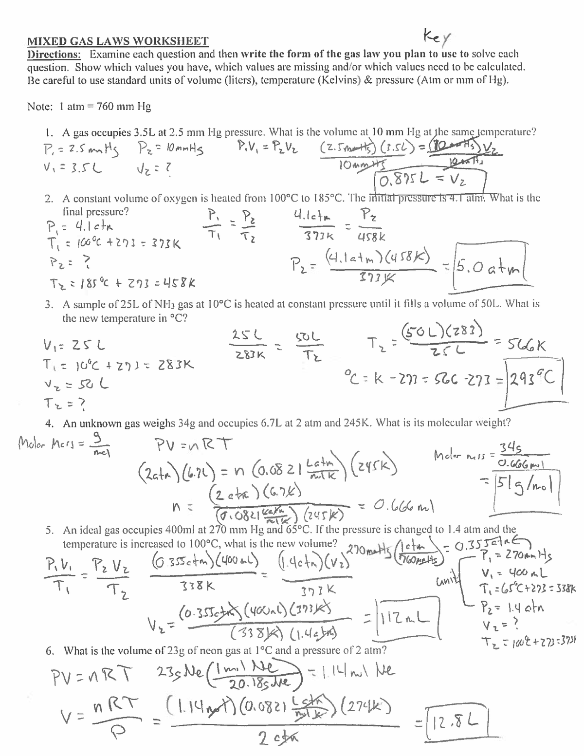
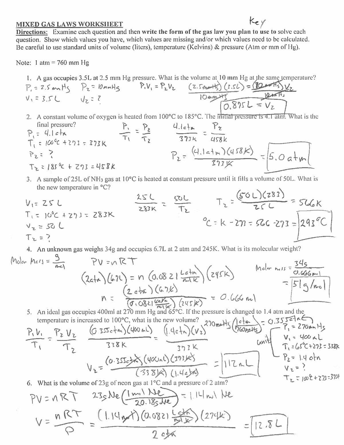
The combined gas law is a formula that relates the pressure, volume, and temperature of a gas. This law is a combination of Boyle’s Law, Charles’s Law, and Gay-Lussac’s Law. It is used to predict the behavior of gases when one or more of these properties change.
When working with the combined gas law, it is important to understand the relationships between pressure, volume, and temperature. By manipulating the formula, you can solve for an unknown variable or predict the outcome of changing one of the properties.
One way to practice using the combined gas law is through worksheets. These worksheets typically provide a scenario involving a gas at certain conditions and ask students to calculate a different property when one is changed. This helps reinforce the concept of how gases behave under different circumstances.
For example, a worksheet may present a gas at a certain pressure, volume, and temperature, and ask students to calculate the new volume if the pressure is doubled and the temperature is halved. By using the combined gas law formula, students can determine the new volume of the gas based on the changes in pressure and temperature.
Working through these types of problems on a worksheet can help students build confidence in their understanding of the combined gas law and how it applies to real-world situations. By practicing with different scenarios, students can improve their problem-solving skills and apply the concepts they have learned in class.
In conclusion, the combined gas law worksheet is a valuable tool for students to practice applying the principles of the combined gas law. By working through various scenarios and calculating different properties of gases, students can deepen their understanding of how gases behave under different conditions. This practice can help students build confidence in their ability to solve problems related to the behavior of gases.
